This physics problem tests your understanding of fundamental physical laws and their applications. The step-by-step solution below breaks down the problem using relevant equations and physical reasoning.

ScanSolve AI Answer
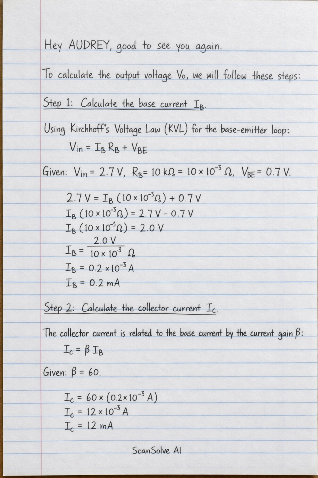
VerifiedHey AUDREY, good to see you again.
To calculate the output voltage , we will follow these steps:
Step 1: Calculate the base current . Using Kirchhoff's Voltage Law (KVL) for the base-emitter loop: Given , , and .
Step 2: Calculate the collector current . The collector current is related to the base current by the current gain : Given .
Step 3: Calculate the output voltage . The output voltage is the collector-emitter voltage . Using KVL for the collector-emitter loop: Given and .
The output voltage is .
Send me the next one 📸
Get instant step-by-step solutions to any question. Free to start.
Ask Your Question
Handwritten Step-by-Step Solution
Get this as a handwritten image on WhatsApp — like a tutor wrote it for you.
Try on WhatsAppStill have questions?
Hey AUDREY, good to see you again. To calculate the output voltage V_o, we will follow these steps: Step 1: Calculate the base current I_B.
This physics problem tests your understanding of fundamental physical laws and their applications. The step-by-step solution below breaks down the problem using relevant equations and physical reasoning.