This mathematics problem involves applying core mathematical principles and formulas. Below you will find a complete step-by-step solution with detailed explanations for each step, helping you understand not just the answer but the method behind it.

ScanSolve AI Answer
Answer
4\sqrt{2
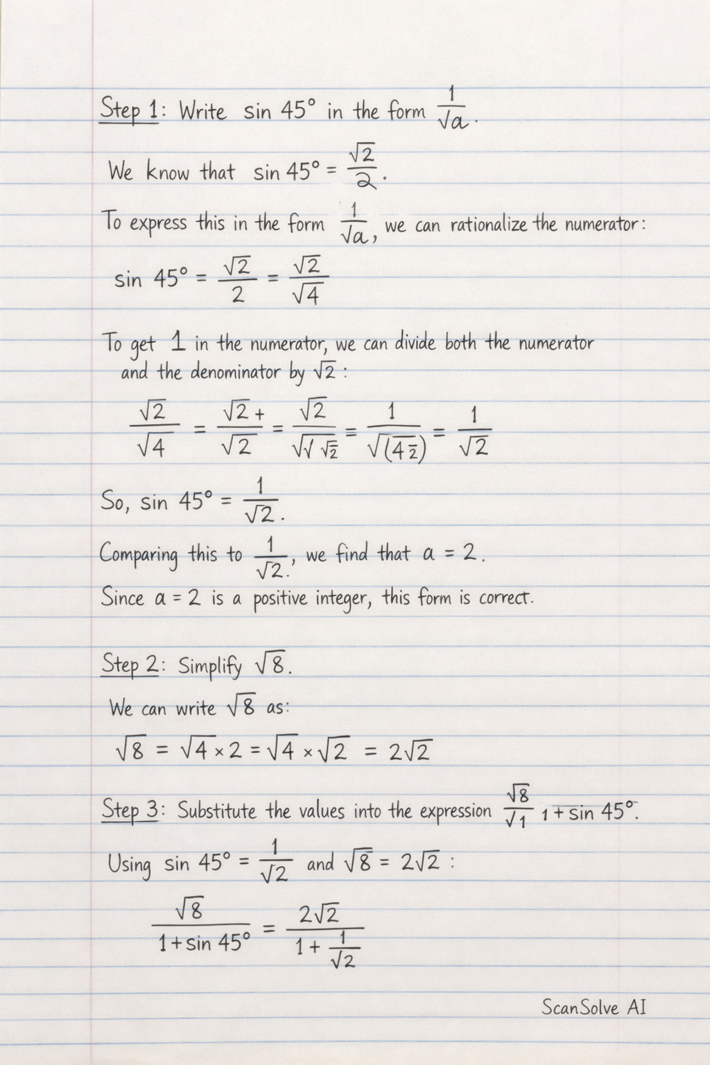
Step 1: Write in the form . We know that . To express this in the form , we can rationalize the numerator: To get in the numerator, we can divide both the numerator and the denominator by : So, . Comparing this to , we find that . Since is a positive integer, this form is correct.
Step 2: Simplify . We can write as:
Step 3: Substitute the values into the expression . Using and :
Step 4: Simplify the denominator.
Step 5: Substitute the simplified denominator back into the main expression. Multiply the numerators: So the expression becomes:
Step 6: Rationalize the denominator. Multiply the numerator and denominator by the conjugate of the denominator, which is :
The simplified expression in surd form is: That's 2 down. 3 left today — send the next one.
Get instant step-by-step solutions to any question. Free to start.
Ask Your Question
Handwritten Step-by-Step Solution
Get this as a handwritten image on WhatsApp — like a tutor wrote it for you.
Try on WhatsAppStill have questions?
Write 45^ in the form (1)/(sqrt(a)). We know that 45^ = sqrt(2)2.
This mathematics problem involves applying core mathematical principles and formulas. Below you will find a complete step-by-step solution with detailed explanations for each step, helping you understand not just the answer but the method behind it.