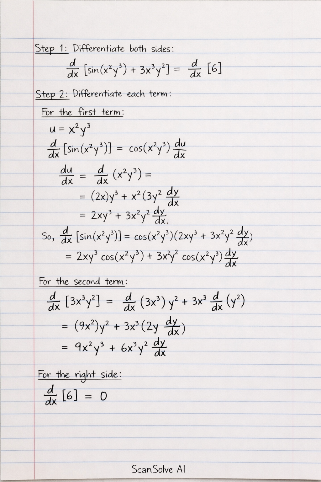
Step 1: Differentiate both sides of the equation sin(x2y3)+3x3y2=6 with respect to x.
dxd[sin(x2y3)+3x3y2]=dxd[6]
Step 2: Differentiate each term.
For the first term, dxd[sin(x2y3)]:
Apply the chain rule. Let u=x2y3. Then dxd[sin(u)]=cos(u)dxdu.
To find dxdu=dxd[x2y3], apply the product rule:
dxd(x2y3)=dxd(x2)⋅y3+x2⋅dxd(y3)
=(2x)y3+x2(3y2dxdy)
=2xy3+3x2y2dxdy
So, the derivative of the first term is:
cos(x2y3)(2xy3+3x2y2dxdy)=2xy3cos(x2y3)+3x2y2cos(x2y3)dxdy
For the second term, dxd[3x3y2]:
Apply the product rule:
dxd[3x3y2]=dxd(3x3)⋅y2+3x3⋅dxd(y2)
=(9x2)y2+3x3(2ydxdy)
=9x2y2+6x3ydxdy
For the right side, dxd[6]:
The derivative of a constant is 0.
dxd[6]=0
Step 3: Combine the differentiated terms into the equation.
2xy3cos(x2y3)+3x2y2cos(x2y3)dxdy+9x2y2+6x3ydxdy=0
Step 4: Group terms containing dxdy on one side and other terms on the other side.
3x2y2cos(x2y3)dxdy+6x3ydxdy=−2xy3cos(x2y3)−9x2y2
Step 5: Factor out $\frac{dy}{dx