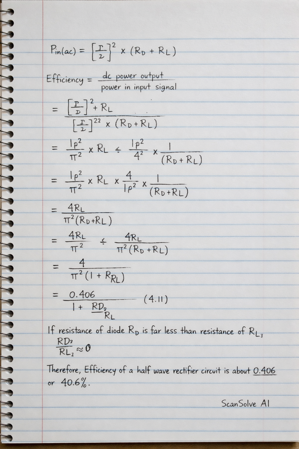
Here is the transcription of the provided image:
Pin(ac)=[2Ip]2×[RD+RL]
Efficiency=powerininputsignaldcpoweroutput
=[2Ip]2×[RD+RL][πIp]2×RL
=π2Ip2×RL÷4Ip2×[RD+RL]1
=π2Ip2×RL×Ip24×[RD+RL]1
=π2[RD+RL]4RL
=π2(RD+RL)4RL
=π2RL(RD+RL)RL4RL
=π2(1+RLRD)4
=1+RLRD0.406(4.11)
If resistance of diode RD is far less than resistance of RL,
RLRD≈0
Therefore, Efficiency of a half wave rectifier circuit is about 0.406 or 40.6%.
This means that a half wave rectifier circuit can only rectify about 40.6% of a full cycle of an input signal. Note that 50% (half cycle) of the input signal is not rectified but blocked by the diode. This means, about 9.4% of the input signal is lost during the process of rectification.
4.4. PEAK INVERSE VOLTAGE (PIV) OF DIODE IN HALF WAVE RECTIFIER CIRCUIT
During the negative half cycle of the input signal, the diode in a half wave rectifier circuit does not allow electric current to flow through it. See Figure 4.4. If electric current do not flow through the diode, it means that the voltage across the
Electronics for Beginners