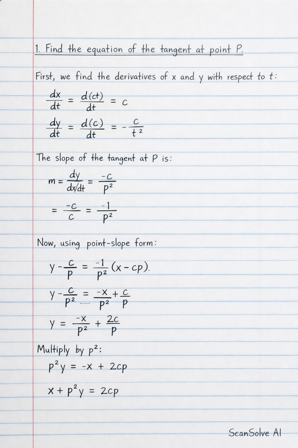
To show that P is the midpoint of AB and CD, we first need to find the coordinates of points A, B, C, and D. The curve is defined by the parametric equations x = ct and y = (c)/(t),
This mathematics problem involves applying core mathematical principles and formulas. Below you will find a complete step-by-step solution with detailed explanations for each step, helping you understand not just the answer but the method behind it.

