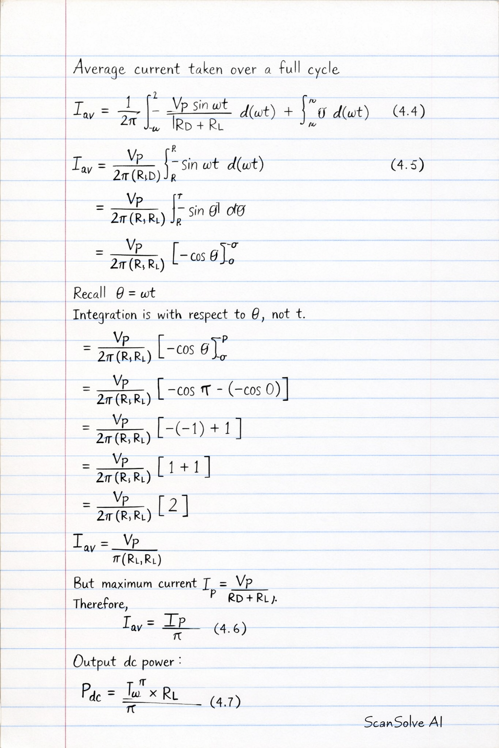
Average current taken over a full cycle
This physics problem tests your understanding of fundamental physical laws and their applications. The step-by-step solution below breaks down the problem using relevant equations and physical reasoning.
This physics problem tests your understanding of fundamental physical laws and their applications. The step-by-step solution below breaks down the problem using relevant equations and physical reasoning.

ScanSolve AI Answer
Here is the transcription of the provided image:
Average current taken over a full cycle Average current taken over a full cycle and illustrated in Fig. 4.5b is given as: Recall that . Integration is with respect to and not . But maximum current . Therefore,
Output dc power Output dc power is given by:
Observe that output power is taken from resistance of load. The power in input ac signal (input ac power) is given as: where and . For a rectified half wave,
Mehta and Mehta (2010) Electronics for Beginners
Get instant step-by-step solutions to any question. Free to start.
Ask Your Question
Handwritten Step-by-Step Solution
Get this solution as a handwritten image on WhatsApp — just like a tutor wrote it for you.
Try on WhatsApp